What kind of rheological properties are needed in oilfield applications?
Oil recovery with all different operations is a fascinating field for a rheologist since so versatile rheological properties are required in the processes. Microfibrillated cellulose has been recognized as potential green, safe rheology modifier for the oil recovery industry. Why is that?
Working fluids in oil recovery
Oil recovery includes many different working fluids that are pumped into the reservoir in order to get the crude oil up. For example, in the drilling phase, drilling fluid (or drilling mud) is used to cool down the drilling equipment and transport the cuttings to the surface. In certain reservoirs, hydraulic fracturing fluids might be needed to fracture the ground and ease the flow of the oil in to the well. When the well starts to get old, the oil recovery can be boosted by displacement fluids which push the last bit of the oil up on the ground. Cementing operations are used for several purposes, like zonal isolations or supporting the casing. These working fluids are highly engineered to give a reliable performance, and all of them have special properties. However, there are also some common factors and properties that are required. Different kind of rheology modifiers play a big role in these fluids, and the requirements are increasing as the oil industry moves towards less accessible reservoirs.
How can MFC be used in oil recovery?
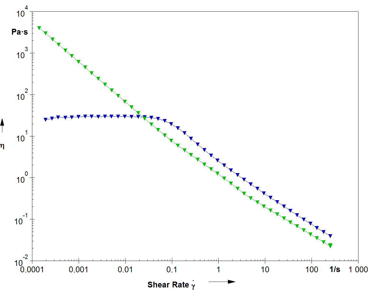
Microfibrillated cellulose shows many rheological properties that are desired in oilfield. For example, the fluids are often mixtures of liquid and solids which needs a stabilizer but also good pumpability. MFC is extremely shear thinning, even compared to commonly used viscosifiers, like xanthan gum. If you look at the figure below, you can see that MFC has 100-fold viscosity compared to xanthan gum at the lowest shear rates (practically at rest) but under shear the viscosity reduces drastically and at the highest shear rates the viscosity is lower than for xanthan gum.
In other words, MFC offers better stabilization but it is easier to pump than the xanthan gum solution. If we look at the different working fluids mentioned above, these properties fit to many of them. For example, in drilling fluids, it is important that the fluid flows easily down and cools down the drill. At the same time, it has to have enough viscosity to transport the cuttings up. As another example, MFC can be used to transport small particles down to the reservoir in a fracturing fluid since it keeps them suspended in water and is still easy flowing. Even cement used in oil wells needs stabilization and flowability which MFC can bring to the product.

Figure 1. Flow curve showing the shear thinning viscosity behavior of MFC suspension at 0.5% (Exilva, Borregaard) compared to xanthan gum at the same concentration. Viscosities are quite similar at high shear rates (i.e., when pumping the material) but MFC has significantly higher viscosity at low shear rates showing the stabilization potential.
Another requirement is that the rheology agent in working fluids needs to tolerate quite harsh conditions in the well. For example, the salt concentration in the working fluids often gets extremely high as the temperature and the rheology modifiers is subjected to high shear. MFC remains its rheological properties at high salt concentrations and it is stable up to quite high temperatures.
Moreover, MFC is very shear-stable, meaning that it can be mixed and pumped with high intensity without losing the rheological effect. Xanthan gum and other polymeric rheology modifiers are normally sensitive to shear since the polymer chains starts to cut in high shear conditions, meaning that the stabilizing and viscosity effect is lost over time.
The rheological properties of MFC fit to many requirements of the working fluids in oil recovery. This combined with the fact that it is made of cellulose, most common natural polymer, makes it safe to the workers and environment.
We have earlier asked if MFC can boost Enhanced Oil Recovery (EOR).
.png?width=517&height=128&name=Group%20(2).png)
